EKSKLUZIVE/ Firmoset marrëveshja mes qeverisë dhe stadiumit ku do zhvillohet takimi i Ramës në Athinë, kryeministri do shoqërohet me makinë të blinduar (FOTO)
Është firmosur përfundimishit marëveshja mes qeverisë shqiptare dhe Christmas Theatre për dhënien me qera të sallës në cilën do të zhillohet takimi i kryeministrit Edi Rama me diasporën.
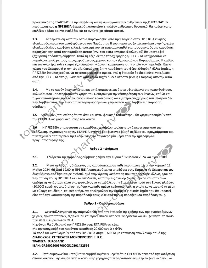
Top Channel mundi të sigurojë ekskluzivisht një kopje të kontratës e cila u firmos mes palëve.
Në kontratë parashikohet zhvillimi i eventit ndrësa organizatorët marrin përsipër gjithë procedurën, sigurinë, ndriçimin, foninë dhe pastrimin.
Vlen të përmendet se pala greke ka shmangur deri në pengim dhënien e ambienteve dhe u desh insistimi i zotit Rama që ambienti të jepet për eventin në fjalë.
Edhe pse takimi i zotit Rama është privat, qeveria greke ka thënë se nuk e ka ftuar zotin Rama,por as mund ta ndalojë atë të zhvillojë këtë takim në athinë.
Për sigurinë e zotit Rama, qeveria greke ka vënë në dispozicion një autoveturë tip “Bmw” të blinduar dhe forca të shtuara sigurie.
Zoti Rama do të mbërrijë në athinë mëngjesin e së djelës dhe do të shkojë direkt në vendin e eventit. Mbas mbarimit të takimit me diasporën, kryeministri shqiëtar do të marrë pjesë në asamblenë e PS në Greqi dhe do të shpërndajë karta anëtarësimi për dhjetëra të rinj që zgjodhën e anëtarësohen në partinë socialiste.
Më herët gjatë ditës së sotme, kryeministri Rama konfirmoi vendin dhe datën e takimit në sallën “Christmas Theatre” të stadiumit Galatsi të Athinës.



